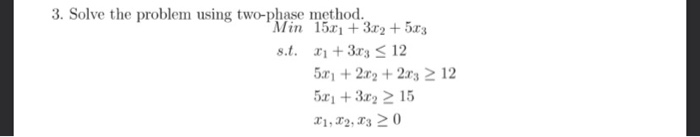
Question: 3. Solve the problem using two-phase method. Min 15x + 3x2 + 5x3 s.t. 81 + 383 3 12 5x + 2.62 +243 12 5x
3. Solve the problem using two-phase method. Min 15x + 3x2 + 5x3 s.t. 81 + 383 3 12 5x + 2.62 +243 12 5x + 3x2 > 15 201, 32, 33 > 0
Step by Step Solution
There are 3 Steps involved in it
Get step-by-step solutions from verified subject matter experts
