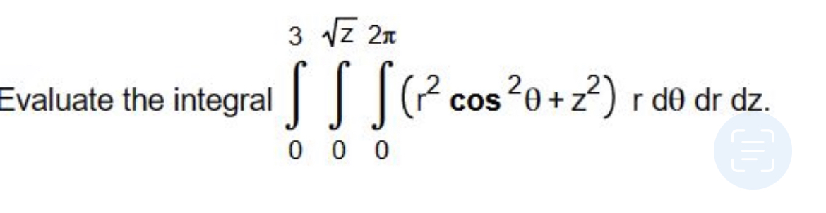
Question: 3 VZ 2n Evaluate the integral | | |(2 cos 20 + z?) r de dr dz. 0 0 0Evaluate the spherical coordinate integral. 2




3 VZ 2n Evaluate the integral | | |(2 cos 20 + z?) r de dr dz. 0 0 0Evaluate the spherical coordinate integral. 2 2x 1- cos S p sin d dp do de 0
Step by Step Solution
There are 3 Steps involved in it
Get step-by-step solutions from verified subject matter experts
