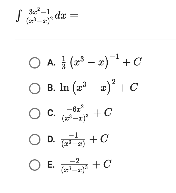
Question: 3 x 2 - 1 ( x 3 - x ) 2 d x = A . 1 3 ( x 3 - x )
Step by Step Solution
There are 3 Steps involved in it
1 Expert Approved Answer
Step: 1 Unlock
Question Has Been Solved by an Expert!
Get step-by-step solutions from verified subject matter experts
Step: 2 Unlock
Step: 3 Unlock
