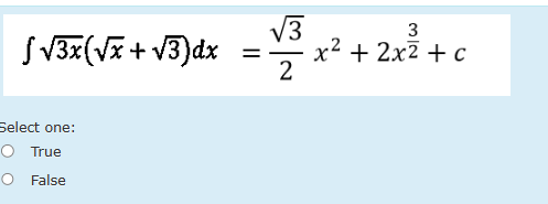
Question: 3 x 2 ( x 2 + 3 2 ) d x = 3 2 2 x 2 + 2 x 3 2 + c
Step by Step Solution
There are 3 Steps involved in it
1 Expert Approved Answer
Step: 1 Unlock
Question Has Been Solved by an Expert!
Get step-by-step solutions from verified subject matter experts
Step: 2 Unlock
Step: 3 Unlock
