Question: 3.8 A sampling experiment. Let us illustrate sampling variability in a small sample from a small population. Ten of the 25 club members listed below

3.8 A sampling experiment. Let us illustrate sampling variability in a small sample from a small population. Ten of the 25 club members listed below are female. Their names are marked with asterisks in the list. The club chooses 5 members at random to receive free trips to the national convention.

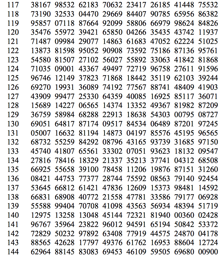
(a) Label the sampling frame starting with '01'.Draw one SRS of 5 starting at line 117 of Table A.Then draw 19 SRSs of size 5, using a different part of Table A each time. Record the number of females in each of your samples. Make a histogram like that in Figure 3.1 to display your results. What is the average number of females in your 20 samples?

(b) Do you think the club members should suspect discrimination if none of the 5 tickets go to women?

3.8 A sampling experiment. Let us illustrate
\f

Step by Step Solution

There are 3 Steps involved in it

1 Expert Approved Answer
Step: 1 Unlock blur-text-image
Question Has Been Solved by an Expert!

Get step-by-step solutions from verified subject matter experts

Step: 2 Unlock
Step: 3 Unlock

Students Have Also Explored These Related Mathematics Questions!