Question: 3please calculate the ES, EF, LS, LF, FF, TF time of every activity in the project.(the letter and number on the arc are activity and

3please calculate the ES, EF, LS, LF, FF, TF time of every activity in the project.(the letter and number on the arc are activity and its duration)

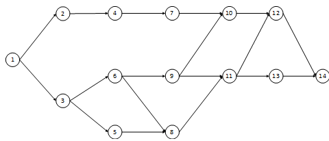
4please calculate the ES, EF, LS, LF, FF, TF time of every activity in the project.(the number on the node is activity duration)

5Using the program evaluation and review technique to calculate the probability the project can be finished before 70 days.

| activity | Optimistic time | Realistic time | Pessimistic time |
| 1 | 4 | 5 | 8 |
| 2 | 4 | 6 | 9 |
| 3 | 6 | 9 | 13 |
| 4 | 10 | 12 | 18 |
| 5 | 5 | 7 | 9 |
| 6 | 11 | 12 | 14 |
| 7 | 9 | 10 | 15 |
| 8 | 4 | 6 | 8 |
| 9 | 7 | 10 | 13 |
| 10 | 8 | 9 | 14 |
| 11 | 4 | 7 | 8 |
| 12 | 6 | 8 | 12 |
| 13 | 6 | 7 | 10 |
| 14 | 3 | 5 | 9 |
Step by Step Solution
There are 3 Steps involved in it
Get step-by-step solutions from verified subject matter experts
