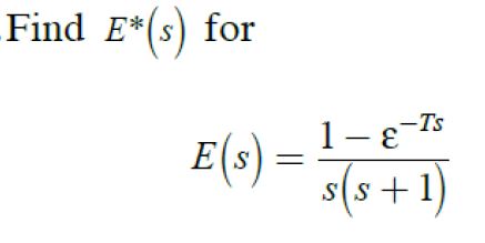
Question: -3t 3.4-3. For e(t) = (a) Express E*(s) as a series. (b) Express E*(s) in closed form. Find E*(s) for E(s) = - E

-3t 3.4-3. For e(t) = (a) Express E*(s) as a series. (b) Express E*(s) in closed form. Find E*(s) for E(s) = - E -Ts s(s+1)
Step by Step Solution
There are 3 Steps involved in it
Get step-by-step solutions from verified subject matter experts
