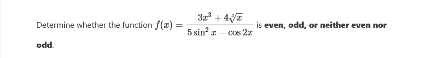
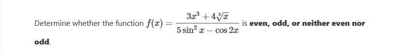
Question: 3x3 + 43x Determine whether the function f(@) = is even, odd, or neither even nor 5 sin x - cos 2x odd


3x3 + 43x Determine whether the function f(@) = is even, odd, or neither even nor 5 sin x - cos 2x odd
Step by Step Solution
There are 3 Steps involved in it
Get step-by-step solutions from verified subject matter experts
