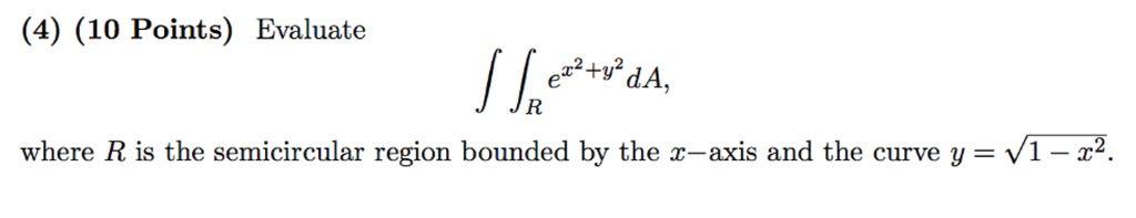
Question: (4) (10 Points) Evaluate 1/f*, x2 +y dA, where R is the semicircular region bounded by the x-axis and the curve y= V1 22

Step by Step Solution
There are 3 Steps involved in it
1 Expert Approved Answer
Step: 1 Unlock
Question Has Been Solved by an Expert!
Get step-by-step solutions from verified subject matter experts
Step: 2 Unlock
Step: 3 Unlock
