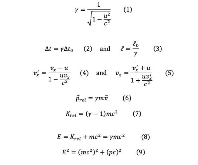
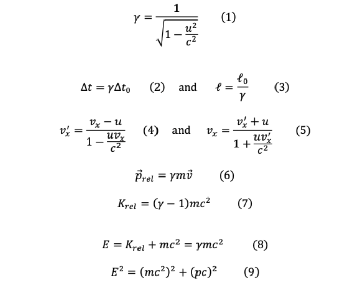
Question: 4. Complete the graph below showing total energy, E from formula [8), of a moving object in units of that object's rest energy and as




4. Complete the graph below showing total energy, E from formula [8), of a moving object in units of that object's rest energy and as a function of the Lorentz factor. What type of function does this graph represent? E (mcz) 10 1' 5 10 y 4. Now, complete the graph below showing total energy, E from formula (8), of a moving object in units of that object's rest energy, mag, and as a function of the object's velocity, u, in units of the speed of light, 6. Combine Eq. (I) and (8). What type of function does this graph represent? E (mo? 4.0 2.8 2.0 1.2 0.4 v (c) 0.04 0.12 0.24 0.40 0.56 9.72 0.83 1-00
Step by Step Solution
There are 3 Steps involved in it
Get step-by-step solutions from verified subject matter experts
