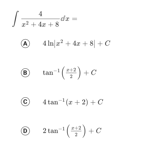
Question: 4 da = x2 + 4x + 8 A) 4In x2 + 4x + 8 + C B tan -1 x+2 + C 2 C


4 da = x2 + 4x + 8 A) 4In x2 + 4x + 8 + C B tan -1 x+2 + C 2 C 4 tan (x + 2) + C D 2 tan -1 + C 2
Step by Step Solution
There are 3 Steps involved in it
Get step-by-step solutions from verified subject matter experts
