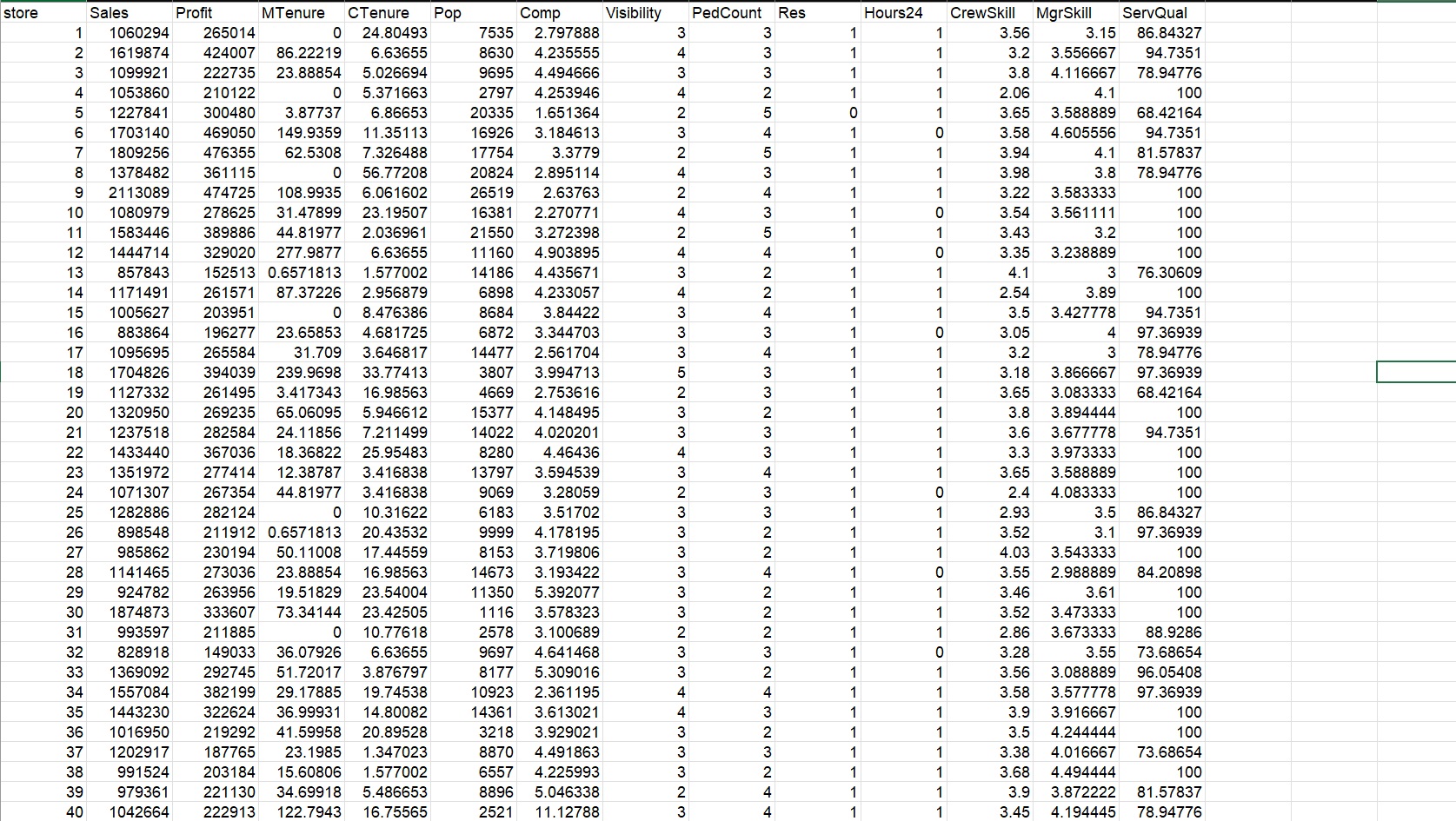
Question: 4 . Examine the STORE 2 4 data set. Can you identify drivers of service quality for STORE 2 4 ? Provide an analysis and

4. Examine the STORE24 data set. Can you identify drivers of service quality for STORE24? Provide an analysis and an interpretation of your results.
 4. Examine the STORE24 data set. Can you identify drivers of

Step by Step Solution

There are 3 Steps involved in it

1 Expert Approved Answer
Step: 1 Unlock blur-text-image
Question Has Been Solved by an Expert!

Get step-by-step solutions from verified subject matter experts

Step: 2 Unlock
Step: 3 Unlock

Students Have Also Explored These Related General Management Questions!