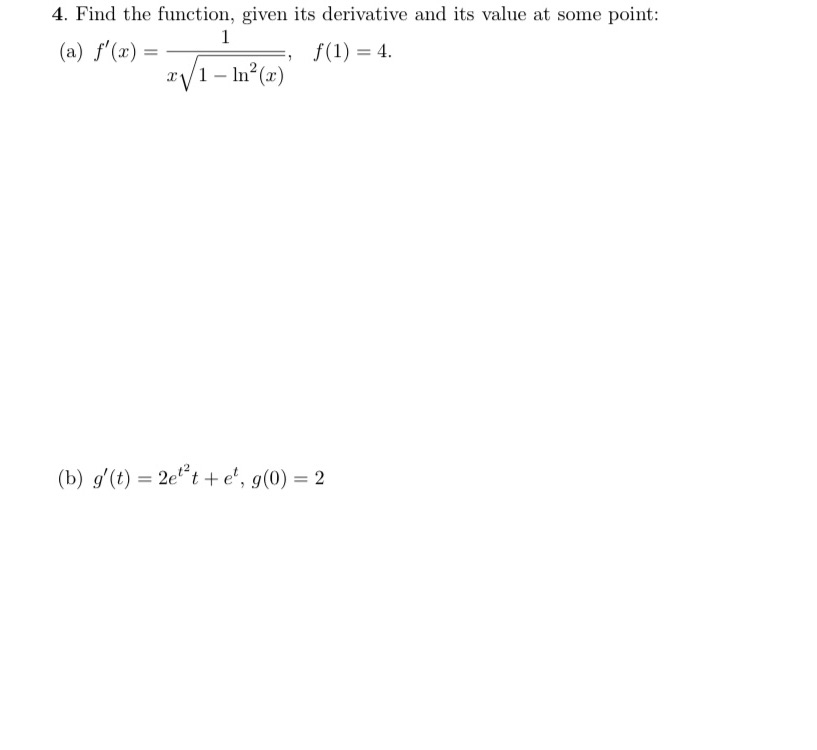
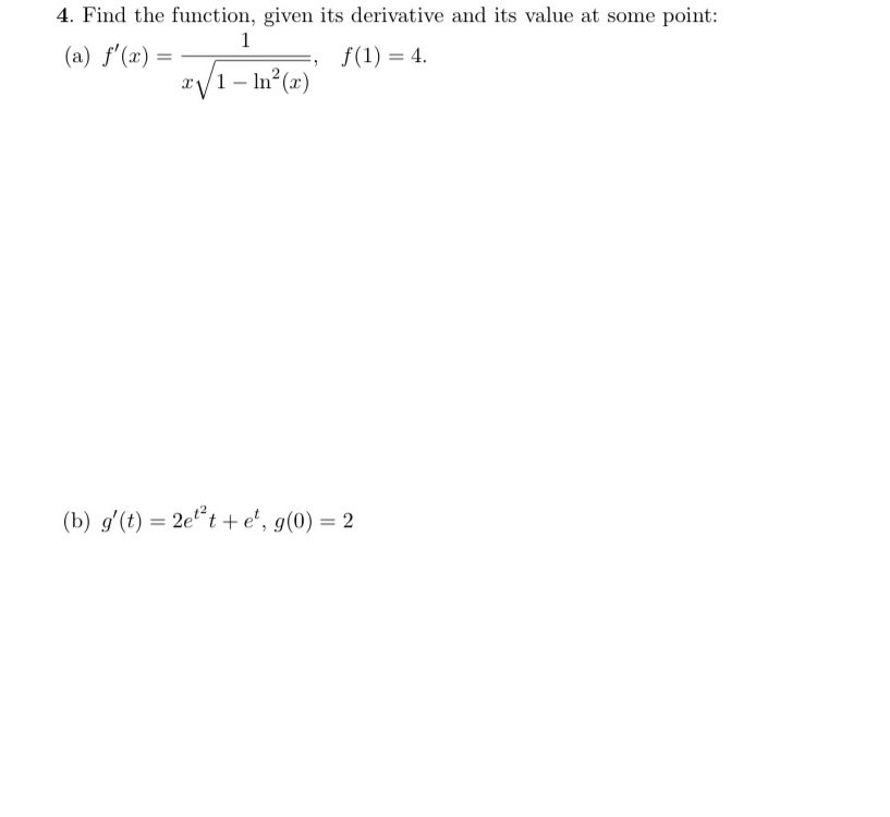
Question: 4. Find the function, given its derivative and its value at some point: (a) m) = 4 m = 4. 3:1,1'1 11129:)1 {b} y'i't} =


4. Find the function, given its derivative and its value at some point: (a) m) = 4 m = 4. 3:1,1'1 11129:)1 {b} y'i't} = 26% + 3 9(0) = 2
Step by Step Solution
There are 3 Steps involved in it
Get step-by-step solutions from verified subject matter experts
