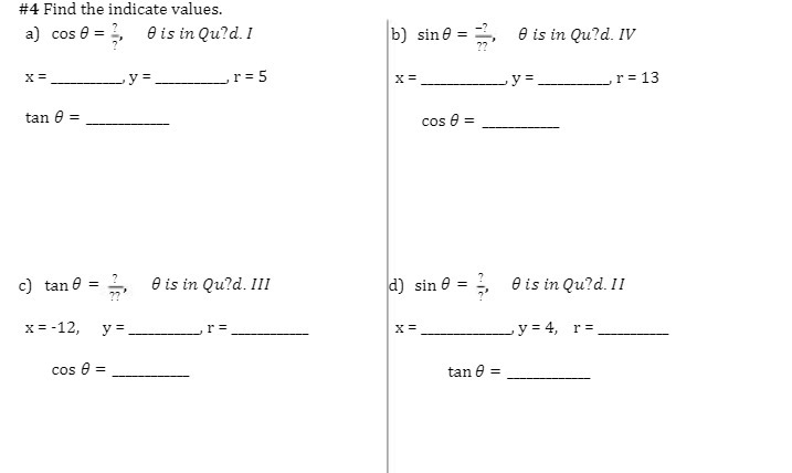
Question: #4 Find the indicate values. a) cos 0 = , 0 is in Qu?d. I b) sin 0 = 25, 0 is in Qu?d. IV

Step by Step Solution
There are 3 Steps involved in it
1 Expert Approved Answer
Step: 1 Unlock
Question Has Been Solved by an Expert!
Get step-by-step solutions from verified subject matter experts
Step: 2 Unlock
Step: 3 Unlock
