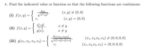
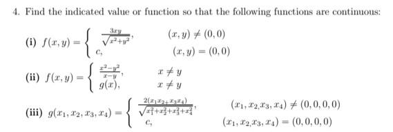
Question: 4. Find the indicated value or function so that the following functions are continuous: (r, y) # (0,0) (i) f(x, y) = (x, y) =


4. Find the indicated value or function so that the following functions are continuous: (r, y) # (0,0) (i) f(x, y) = (x, y) = (0,0) (ii) f(x,y) = g(z), (r1, 12,3, 14) # (0,0,0,0) (iii) g(21, 12, 13, r) = C. (1, 12,13, HA) = (0, 0, 0,0)
Step by Step Solution
There are 3 Steps involved in it
Get step-by-step solutions from verified subject matter experts
