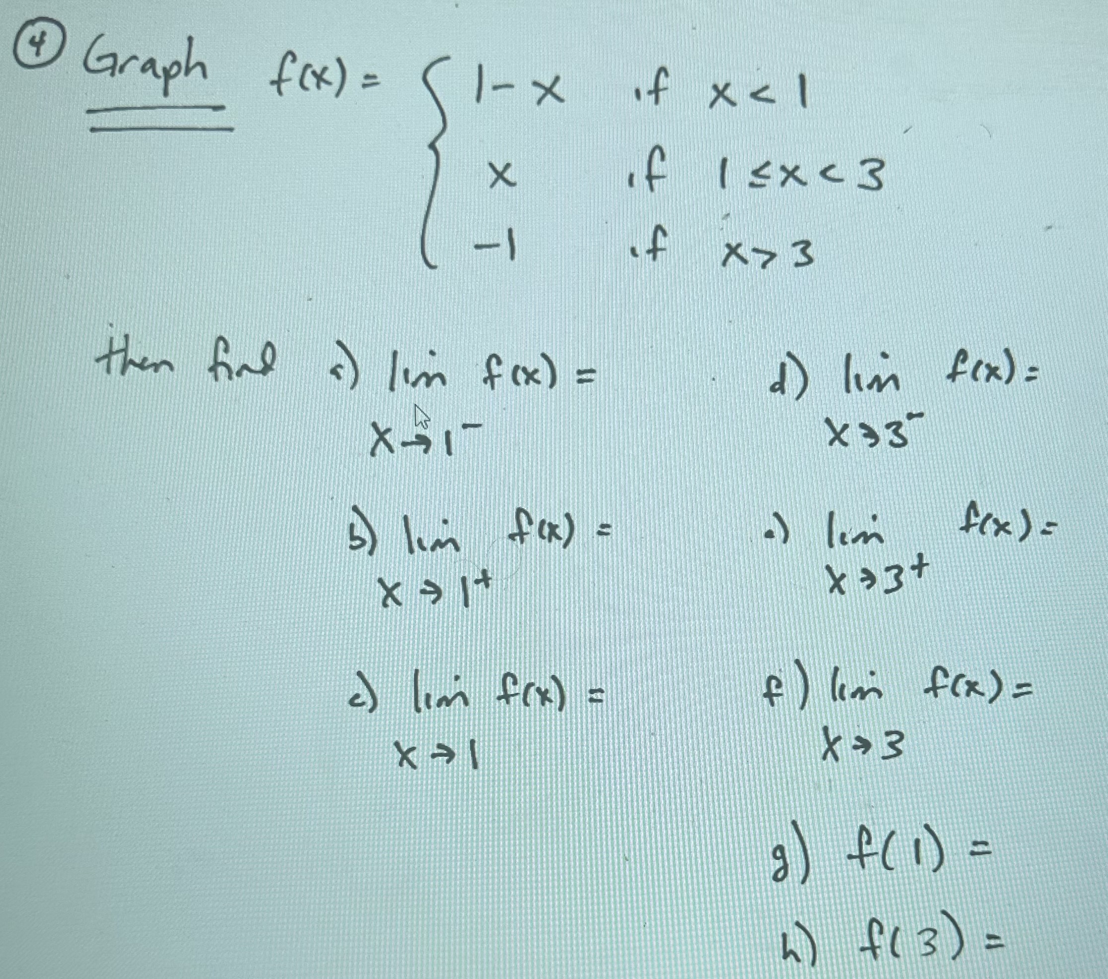
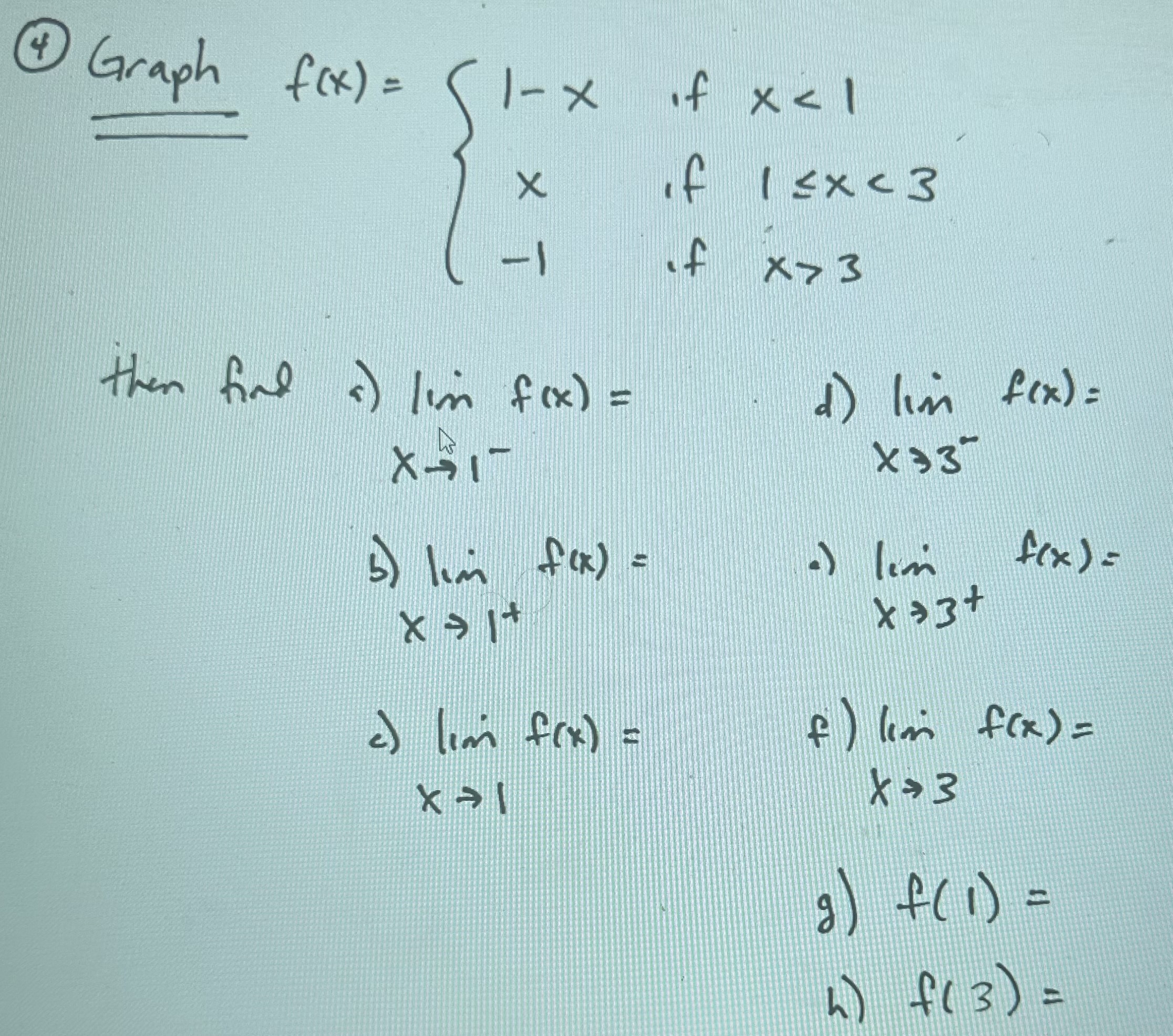
Question: 4 Graph f(x ) = ( I- x if xcl X If I s xc 3 of X73 then find s ) lim f (x


4 Graph f(x ) = ( I- x if xcl X If I s xc 3 of X73 then find s ) lim f (x ) = d ) lim fox ) = XSIT X 337 5 ) limn f (x ) = -) lim f(x ) = 2 ) lim f (x ) = f ) ( im f ( x ) = X = 3 g ) f ( 1 ) = L ) f ( 3 ) =
Step by Step Solution
There are 3 Steps involved in it
Get step-by-step solutions from verified subject matter experts
