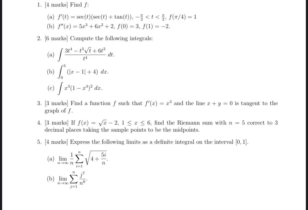
Question: [ 4 marks ] Find f : ( a ) f ' ' ( x ) = 5 x 3 + 6 x 2 +
marks Find :
a
marks Compute the following integrals:
marks Find a function such that and the line tangent the graph
marks find the Riemann sum with correct decimal places taking the sample points the midpoints.
marks Express the following a definite integral the interval
Step by Step Solution
There are 3 Steps involved in it
1 Expert Approved Answer
Step: 1 Unlock
Question Has Been Solved by an Expert!
Get step-by-step solutions from verified subject matter experts
Step: 2 Unlock
Step: 3 Unlock
