Question: 4. The chain rule is a useful method for transferring from one set of coordinates to another. In solving the Harmonic Oscillator we took the

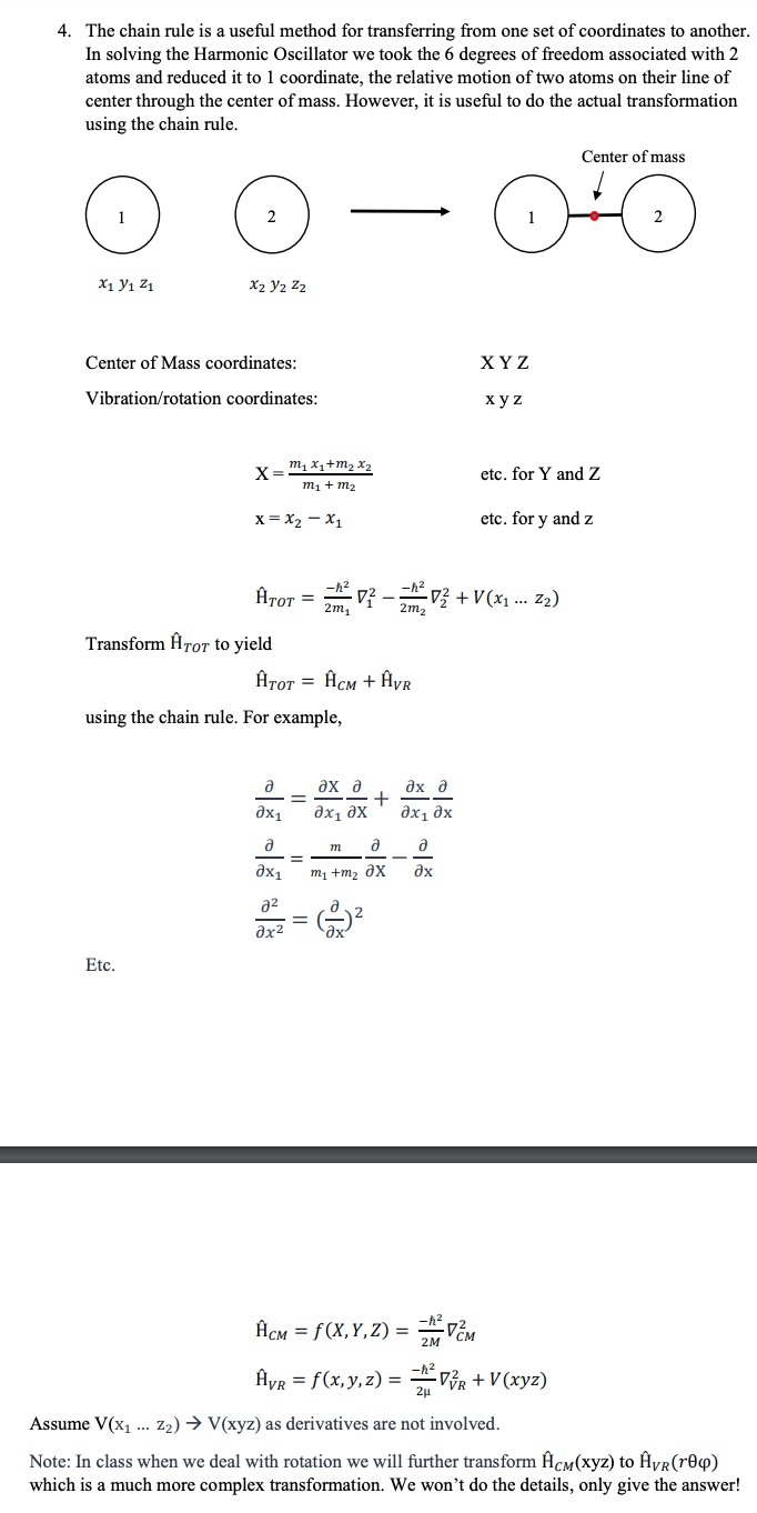
4. The chain rule is a useful method for transferring from one set of coordinates to another. In solving the Harmonic Oscillator we took the 6 degrees of freedom associated with 2 atoms and reduced it to 1 coordinate, the relative motion of two atoms on their line of center through the center of mass. However, it is useful to do the actual transformation using the chain rule. Center of Mass coordinates: XYZ Vibration/rotation coordinates: xyz X=m1+m2m1x1+m2x2x=x2x1etc.forYandZetc.foryandz H^TOT=2m12122m2222+V(x1z2) Transform H^TOT to yield H^TOT=H^CM+H^VR using the chain rule. For example, x1=x1XX+x1xxx1=m1+m2mXxx22=(x)2 Etc. H^CM=f(X,Y,Z)=2M2CM2H^VR=f(x,y,z)=22VR2+V(xyz) Assume V(x1z2)V(xyz) as derivatives are not involved. Note: In class when we deal with rotation we will further transform H^CM(xyz) to H^VR(r) which is a much more complex transformation. We won't do the details, only give the
Step by Step Solution
There are 3 Steps involved in it
Get step-by-step solutions from verified subject matter experts
