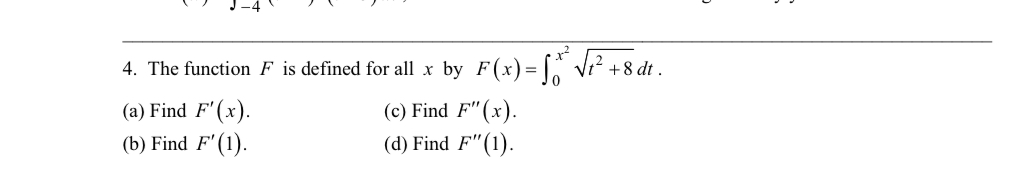
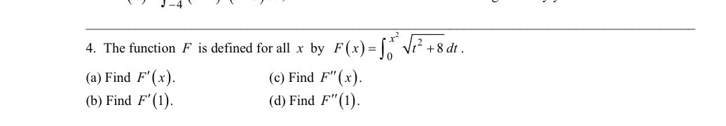
Question: 4. The function F is defined for all x by F (x) = V 12 +8 dt. (a) Find F' (x). (c) Find F (x).


4. The function F is defined for all x by F (x) = \\V 12 +8 dt. (a) Find F' (x). (c) Find F" (x). (b) Find F' (1). (d) Find F"(1)
Step by Step Solution
There are 3 Steps involved in it
Get step-by-step solutions from verified subject matter experts
