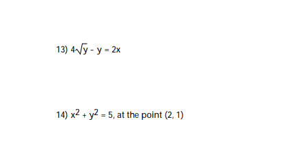
Question: 4 y 2 - y = 2 x x 2 + y 2 = 5 , a t the point ( 2 , 1 )
the point
Step by Step Solution
There are 3 Steps involved in it
1 Expert Approved Answer
Step: 1 Unlock
Question Has Been Solved by an Expert!
Get step-by-step solutions from verified subject matter experts
Step: 2 Unlock
Step: 3 Unlock
