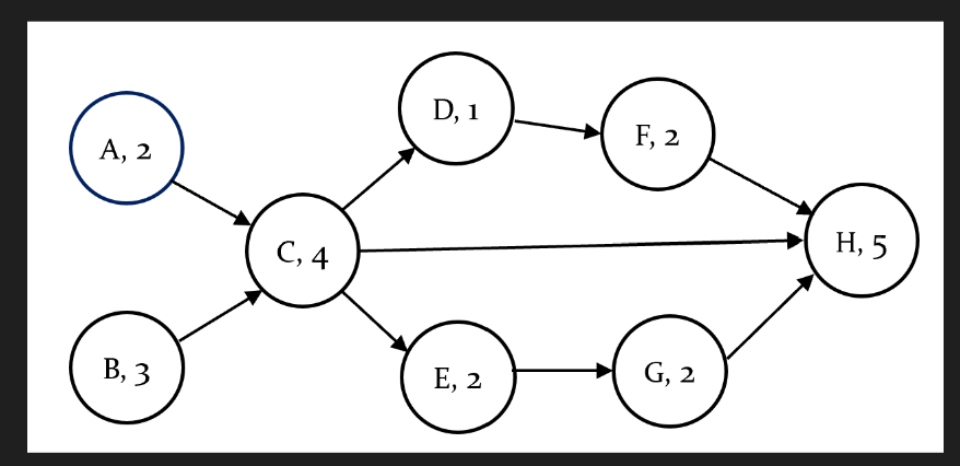
Question: 41. pts Activity on Node (AON) convention has project steps inside the circles (nodes). True False 42. Which activities must finish before H can start?
41. ptsActivity on Node (AON) convention has project steps inside the circles (nodes).
True
False

42. Which activities must finish before H can start?
a. C, D, F
b. C, F, G
c. C, E, G
43. Which of the following is not a path?
a. ACDFH
b. BCDFH
c. CDFH
d. ACH
e. BCH
44. What is the critical path?
a. ACDFH
b. ACH
c. BCDFH
d. ACEGH
e. BCEGH
45. How long is the critical path?
a. 11
b. 12
c. 14
d. 15
e. 16
f. 18
46. Which activity has slack?
A
B
47. Calculating late start and late finish involves a backward pass through the network diagram, AND the late start is the latest time the activity can start and not delay the project.
True
False
48. The earliest time an activity can start is when all preceding activities are completed.
True
False
49. A project is not complete until all project activities are complete. Which activity would likely be last and need to be finished before closing a project?
a. Pay Employees
b. Purchase Order for longest lead time materials
c. Assess project schedule
d. Pay final invoice
50. MN DOT has a contract with XYZ Road Contruction for an I-94 pavement project starting May 19, 2024 and ending June 25, 2024. The project has slack built in for uncontrollable weather delay, but also resource added time-cost tradeoff clauses called __________ if the project is completed early, and ___________ if the project is completed late.
a. incentives, penalties
b. naming rights, negative media reviews
c. productivity, inefficiency
Step by Step Solution
There are 3 Steps involved in it
Get step-by-step solutions from verified subject matter experts
