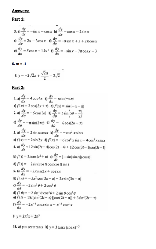
Question: 4.1 - Sinusoidal Derivatives Practice Questions Part 1: 3. Differentiate with respect to x. 6. Find the slope of the graph of y = 2cos




4.1 - Sinusoidal Derivatives Practice Questions Part 1: 3. Differentiate with respect to x. 6. Find the slope of the graph of y = 2cos e b) y = sinx + 2cosx at 8 = _ d) y = ncosx + 2x + 2xsinx e) y = 5sinx - 5x3 +2 8. Find the equation of the line tangent to the function y = -4sinx at x = Part 2: 1. Find each derivative with respect to x. 3. Find each derivative with respect to x. a) y = sin 4x b) y= cos( -Itx) a) y = sin x b) y = -cos3 x 4. Differentiate with respect to t. 5. Determine the derivative of each function with a) y= 3sin?(2t -4) - 2cos(3t + 1) respect to the variable indicated. b) f (t) = sin(12 + n) b) f(x) = -x2 sin(3x - 1) c) y = 2sin @ cos e d) f(0) = sin2 0cos2 0 8. Find the equation of the line tangent to y = x- sin2x at x = -1. 18. a) Find the derivative of y = secx with respect to x. b) Find the derivative of y = - sec x with cos-x respect to x.Answers: Part 1: dy -cosx - 2 sin x dx 3. al -- -sinx - cosx b) - dx dy = 2x -3cosx d) dy Itsinx + 2 + 2xcosx dx dx dy = 5cosx - 15x- f) dy =sinx + 7xcosx -3 dx dx 6. m =-1 8. y- -2 2x+ V2x 2 Part 2: dy = 4cos4x b)= dy = Tsin(-1x) 1. a) 4x dx ( /(x)=2cos(2x + x) d) /(x) = sin(-x - *) 2. al =-6cos(30) b) Y = 5sin 50 -~ " de do dy - -xsin(20) d) y =-6cos(28 - K) de de 3. al " = 2sinxcosx bj ->= -cos' x sinx "dx dx df(x)=-2sin 2x d) fix) = -6cos xsinx -4cos xsinx 4. a) y= 12sin(2t-4) cos(2t-4) + 12 cos( 3t-1) sin(3+- 1) dt b) f(t) = 2tcos(1+ x) =[-sin(sing](cost) "dt d) fit) = - 2 sin( cost) cos( cost) sint 5. a) dy = -2xsin 2x+ cos2x dx b) /(x) = -3x cos( 3x - 7) - 2x sin( 3x - 1) dy - -2sin' e+ 2cose de d) (10) = -2 sin' @ cos' e+ 2sin 0 cos'e @) /In) = 18/(sin (2t - )][cos(2t - x)] + 3sin (2+- 7d ny = -2x-'cosxsin x - x 'cos x dx 8. y 2xx + 23 18. a] y = secxtan x bly= 3tanx (cosx) 3
Step by Step Solution
There are 3 Steps involved in it
Get step-by-step solutions from verified subject matter experts
