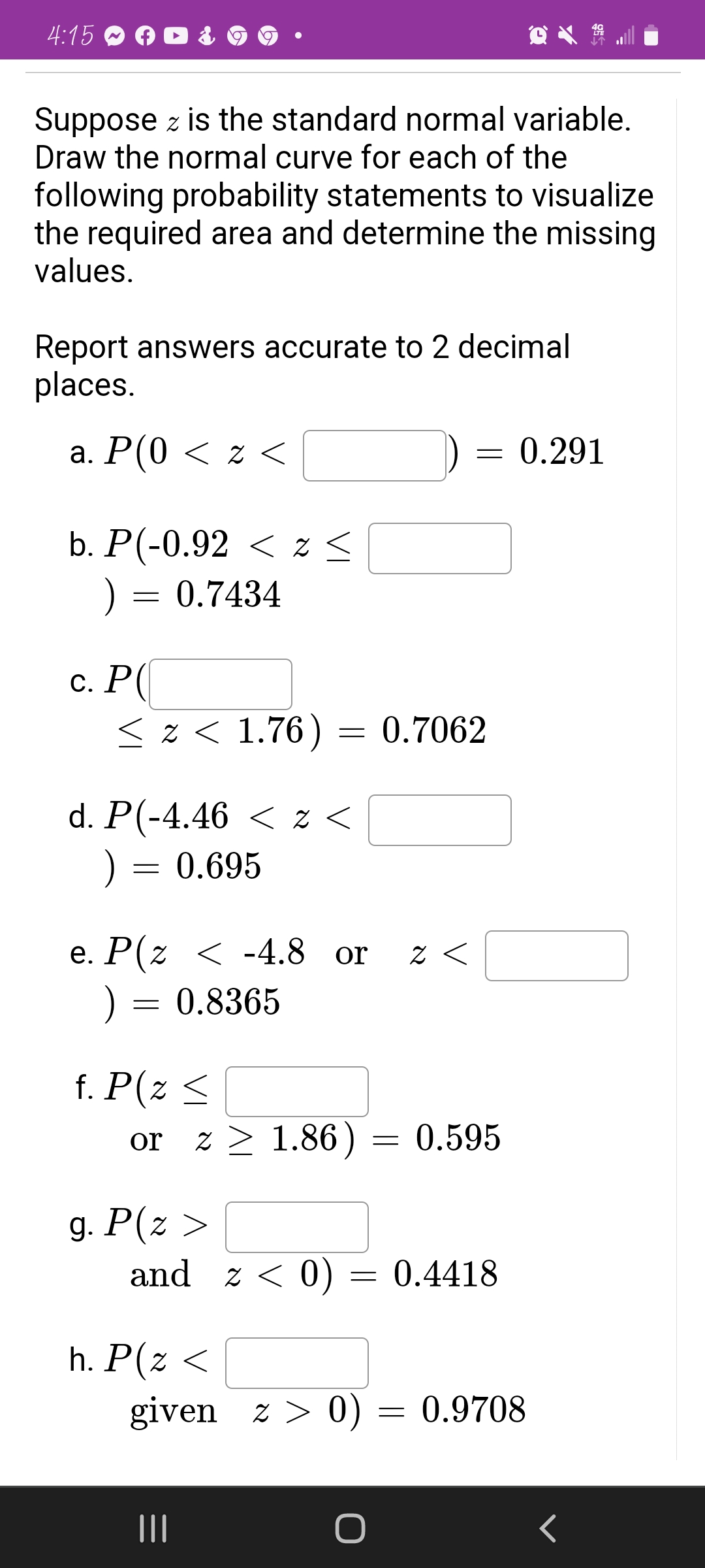
Question: 4:1590D899 Suppose z is the standard normal variable. Draw the normal curve for each of the following probability statements to visualize the required area and

4:1590D899 Suppose z is the standard normal variable. Draw the normal curve for each of the following probability statements to visualize the required area and determine the missing values. Report answers accurate to 2 decimal places. a.P(0 and z 0) : 0.9708 \"I O <
Step by Step Solution
There are 3 Steps involved in it
Get step-by-step solutions from verified subject matter experts
