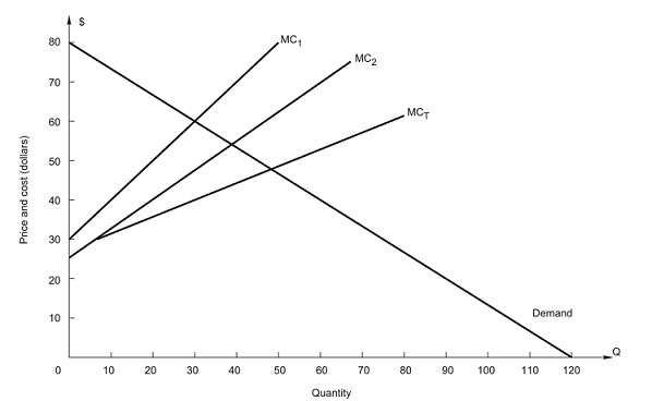
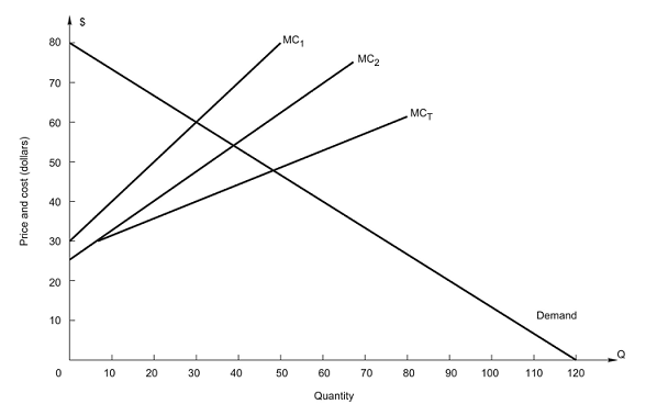
Question: #47 - g so 8 20 30 40 70 go 100 110 120 Quantity

#47 -

g so 8 20 30 40 70 go 100 110 120 Quantity
Step by Step Solution
There are 3 Steps involved in it
Get step-by-step solutions from verified subject matter experts
