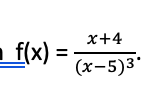
Question: 4.What steps should be taken to analyse the functionf(x) = .Do not do the analysis; only tell me what you need to look for to
4.What steps should be taken to analyse the functionf(x) = .Do not do the analysis; only tell me what you need to look for to question. The function is in the screenshot. Thank you)

\f
Step by Step Solution
There are 3 Steps involved in it
Get step-by-step solutions from verified subject matter experts
