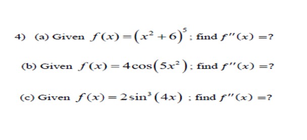
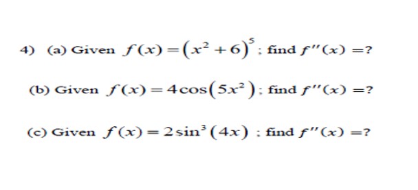
Question: 5 4) (a) Given f(x) =(x-+6 : find f(x) =? (b) Given f(x) =4cos(5x2 ) ; find f(x) =? (c) Given f(x) = 2sin' (4x)


5 4) (a) Given f(x) =(x-+6 : find f"(x) =? (b) Given f(x) =4cos(5x2 ) ; find f"(x) =? (c) Given f(x) = 2sin' (4x) : find f" (x) =
Step by Step Solution
There are 3 Steps involved in it
Get step-by-step solutions from verified subject matter experts
