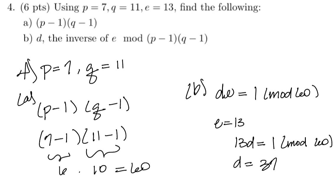
Question: 5 . ( 4 pts ) Using the values from 4 ) :a ) Encrypt the message SNOW using RSA.b ) Decrypt the message 4
pts Using the values from :a Encrypt the message SNOW using RSA.b Decrypt the message using RSA.
Step by Step Solution
There are 3 Steps involved in it
1 Expert Approved Answer
Step: 1 Unlock
Question Has Been Solved by an Expert!
Get step-by-step solutions from verified subject matter experts
Step: 2 Unlock
Step: 3 Unlock
