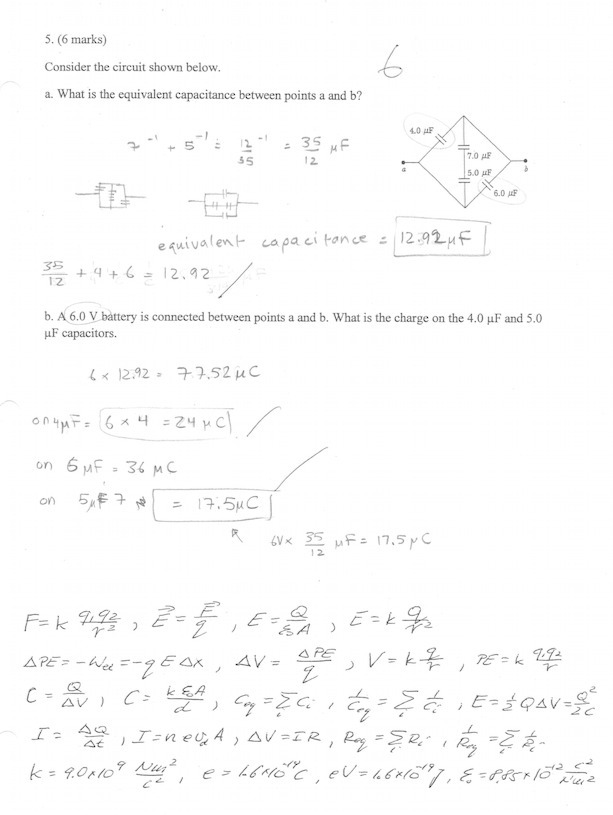
Question: 5. (6 marks) Consider the circuit shown below. a. What is the equivalent capacitance between points a and b? 4.0 AF t 5 12 35

5. (6 marks) Consider the circuit shown below. a. What is the equivalent capacitance between points a and b? 4.0 AF t 5 12 35 UF 12 7.0 AF 5.0 AF equivalent capacitance = 12.92 uf 35 12 - + 4+6 = 12.92 b. A 6.0 V battery is connected between points a and b. What is the charge on the 4.0 JF and 5.0 MF capacitors. 6 x 12.92 = 7.7. 52 UC on 4 MF = 6 * 4 = 24 MC on 6 MF = 36 MC on 5,#7# = 17:5UC 6Vx 35 MF = 17.5 / C F= K 9192 , E- 9 APE = - Nex = - 9 EOK , AV = OPE , V= KY, PE = K 9:94 C= AV ) C = KEA [ = AR , I = NOVIA , AV= IR, Rog = 2 R." 1 Rng = 2 2- K= 90x109 Negg 2 -2 , e = LENO C, EV = 1. 6 x 10"1 1, 8= 1,85 x 10 24 2 - 2
Step by Step Solution
There are 3 Steps involved in it
Get step-by-step solutions from verified subject matter experts
