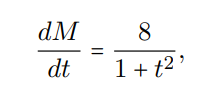
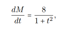
Question: 5. Bob has a second tapeworm. Let M(t) be the mass in grams of the tapeworm at time t in days. At the beginning, M(0)

5. Bob has a second tapeworm. Let M(t) be the mass in grams of the tapeworm at time t in days. At the beginning, M(0) = 5. Bob notes that the growth rate of M(t) can be modeled by

Step by Step Solution
There are 3 Steps involved in it
Get step-by-step solutions from verified subject matter experts
