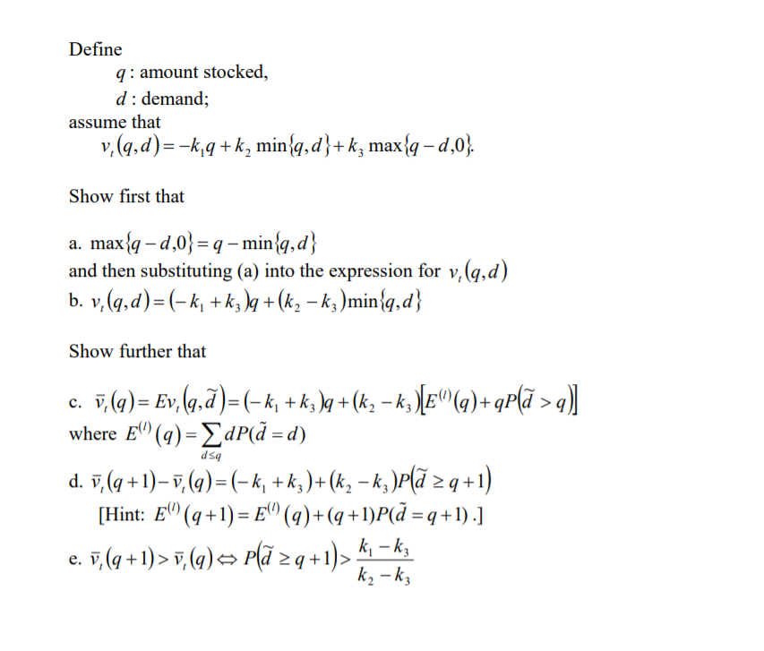
Question: 5. Consider an inventory problem described by the following date: ki: cost per item stocked, k: revenue per item sold, kz: scrap value per item


5. Consider an inventory problem described by the following date: ki: cost per item stocked, k: revenue per item sold, kz: scrap value per item stocked and not sold. Define q: amount stocked, d: demand; assume that v;(q,d)=-k,q+k, min{q,d}+k max{q d,0}. Show first that a. max{q d,0}=q-min{q,d} and then substituting (a) into the expression for v, (q,d) b. v;(q,d)=(-k, +k; )q+(k k3 )min{q,d} Show further that dsq c. 7, (q) = Ev,(4,2)=(-, + kg+(k> - *, &"q)+qP(>q)] where E" (q) = XdP = d) d. 7, (q +1) 7, (q)=(-k, + k)+(k k)Pl 29+1) [Hint: E%(q+1)= E (q)+(q+1)P(7 =q+1).] e. v, (q+1)>v,() Pl 29+1)> ki - km k - k3 5. Consider an inventory problem described by the following date: ki: cost per item stocked, k: revenue per item sold, kz: scrap value per item stocked and not sold. Define q: amount stocked, d: demand; assume that v;(q,d)=-k,q+k, min{q,d}+k max{q d,0}. Show first that a. max{q d,0}=q-min{q,d} and then substituting (a) into the expression for v, (q,d) b. v;(q,d)=(-k, +k; )q+(k k3 )min{q,d} Show further that dsq c. 7, (q) = Ev,(4,2)=(-, + kg+(k> - *, &"q)+qP(>q)] where E" (q) = XdP = d) d. 7, (q +1) 7, (q)=(-k, + k)+(k k)Pl 29+1) [Hint: E%(q+1)= E (q)+(q+1)P(7 =q+1).] e. v, (q+1)>v,() Pl 29+1)> ki - km k - k3
Step by Step Solution
There are 3 Steps involved in it
Get step-by-step solutions from verified subject matter experts
