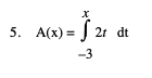
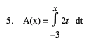
Question: 5. evaluate A'(x) at x = 1, 2, and 3 f3+ y = 1+[x-1 | 11. The region bounded by y = 2x , the


5. evaluate A'(x) at x = 1, 2, and 3


\f3+ y = 1+[x-1 | 11. The region bounded by y = 2x , the x-axis, the line x = 1, and x = 3. 2 3 Fig. 11
Step by Step Solution
There are 3 Steps involved in it
Get step-by-step solutions from verified subject matter experts
