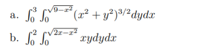
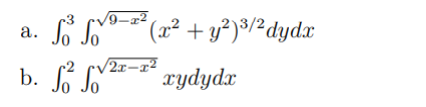
Question: 5. Evaluate the iterated integral using polar coordinates 0 0 (:r2 +

5. Evaluate the iterated integral using polar coordinates

0 0 (:r2 +
Step by Step Solution
There are 3 Steps involved in it
Get step-by-step solutions from verified subject matter experts
