Question: 5. Find where the function is increasing or decreasing. Then find the local minimum and maximum values by using the First Derivative Test. (a) f(x)






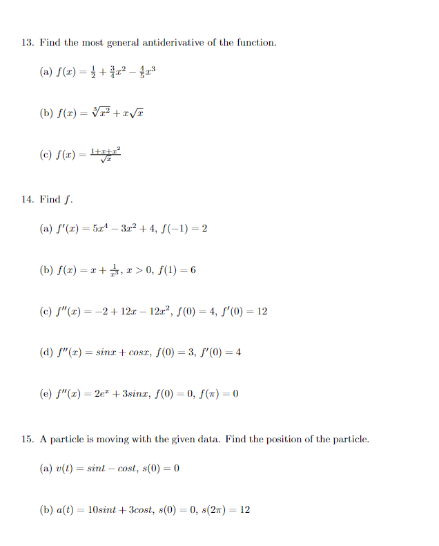
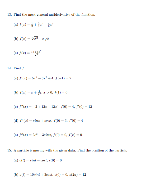
5. Find where the function is increasing or decreasing. Then find the local minimum and maximum values by using the First Derivative Test. (a) f(x) = 2x3 +3x2 - 12x (b) f(x) = (x -1)'(x+2) (c) f(x) = =+2 6. Find the local maximum and minimum values of f using both the First and Second Derivative Tests. (a) f(x) =x' +3x -8 (b) f(x) =12/3 -3 (c) f(x) = -2 - 12x2 -45x + 10 (d) f(x) = sin?(x) - cos(c); [", =]8. Find domain, intercepts, symmetry, asymptotes (if exists), intervals of increasing or decrease, local maximum and local minimum, concavity, in- flection points, and graph. (a) f(x) = 2cosr + cos x [0, 2x] (b) f(x) = 2 -3 I-2 (c) f(a) = - 12r+ 213. Find the most general antiderivative of the function. (a) f(x) = =+3x -4x (b) f(x) = Vrtax (c) f(x) = letz 14. Find f. (a) f'(x) = 5x1 - 3x2 + 4, f(-1) =2 (b) f(x) = x+ 4, x >0, f(1) =6 (c) f"(x) = -2+12x -12x2, f(0) = 4, f'(0) = 12 (d) f"(x) = sinx + cost, f(0) = 3, f'(0) =4 (e) f"(x) = 2et + 3sina, f(0) = 0, f(n) =0 15. A particle is moving with the given data. Find the position of the particle. (a) v(t) = sint - cost, s(0) = 0 (b) a(t) = 10sint + 3cost, s(0) = 0, s(2n) = 12
Step by Step Solution
There are 3 Steps involved in it
Get step-by-step solutions from verified subject matter experts
