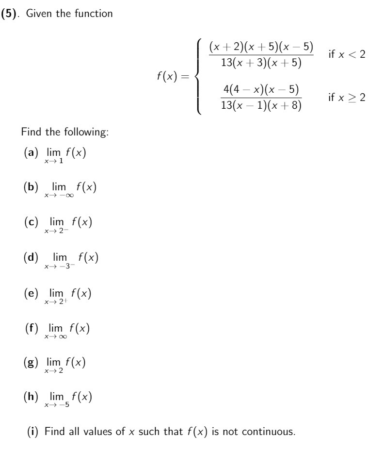
Question: (5). Given the function (x + 2) (x + 5)(x - 5) if x 2 13(x - 1)(x + 8) Find the following: (a) lim

Step by Step Solution
There are 3 Steps involved in it
1 Expert Approved Answer
Step: 1 Unlock
Question Has Been Solved by an Expert!
Get step-by-step solutions from verified subject matter experts
Step: 2 Unlock
Step: 3 Unlock
