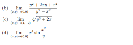
Question: 5. {Sections 4.3,4.4,4.5] Determine whether the following limits exist. If you suspect that a limit does not exist, try to prove so by using limits
![5. {Sections 4.3,4.4,4.5] Determine whether the following limits exist. If you](https://s3.amazonaws.com/si.experts.images/answers/2024/06/666119b6650a5_606666119b651707.jpg)







5. {Sections 4.3,4.4,4.5] Determine whether the following limits exist. If you suspect that a limit does not exist, try to prove so by using limits along curves. If you suspect that the limit does exist._ note that there is only one way to prove it: you must use the E 5 denition. . y + .r . 1 I; (a) Ira-$113114) 3;? :::Z { J
Step by Step Solution
There are 3 Steps involved in it
Get step-by-step solutions from verified subject matter experts
