Question: 5. The line described by the function f (:12) = 2x + 2% is tangent to the function g (m) : tan1(4m) at one point


![one point on the interval [2, 0]. What are the coordinates of](https://s3.amazonaws.com/si.experts.images/answers/2024/06/667bab0c9a737_748667bab0c7d0a5.jpg)



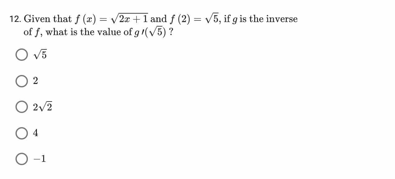
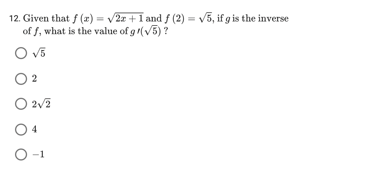
5. The line described by the function f (:12) = 2x + 2% is tangent to the function g (m) : tan1(4m) at one point on the interval [2, 0]. What are the coordinates of this point? 0 (_\\/, 2432/34) O (t: i) O (7%: %) 11. A curve is described by the equation y = 1. At what point on the curve is the slope equal to 3? O (2, 2V/2) O ( - 2, 2V2) O (3, 3V/3) O (1, 1) O (4, 8)12. Given that f (x) = v2x + 1 and f (2) = v5, if g is the inverse of f, what is the value of g /(v5) ? O V5 O 2 O 2V2 O 4 O - 1
Step by Step Solution
There are 3 Steps involved in it
Get step-by-step solutions from verified subject matter experts
