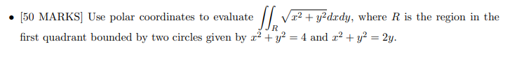
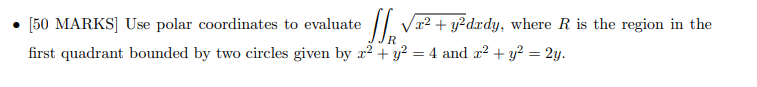
Question: . [50 MARKS] Use polar coordinates to evaluate x2 + ydrdy, where R is the region in the R first quadrant bounded by two circles
![. [50 MARKS] Use polar coordinates to evaluate x2 + ydrdy,](https://s3.amazonaws.com/si.experts.images/answers/2024/06/666e07c09a036_976666e07c0867d9.jpg)

. [50 MARKS] Use polar coordinates to evaluate x2 + ydrdy, where R is the region in the R first quadrant bounded by two circles given by a2 + y = 4 and x2 + y = 2y
Step by Step Solution
There are 3 Steps involved in it
Get step-by-step solutions from verified subject matter experts
