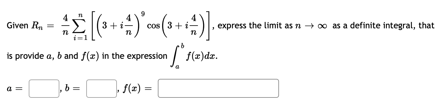
Question: 5.2:- 4th) 11. Given Rn = g: 1'21 9 4 4 (3 + i?) cos (3 + i;)] , express the limit as n >
5.2:-
4th)

![i?) cos (3 + i;)] , express the limit as n >](https://s3.amazonaws.com/si.experts.images/answers/2024/06/667d107de3f1d_253667d107dd0612.jpg)

11. Given Rn = g: 1'21 9 4 4 (3 + i?) cos (3 + i;)] , express the limit as n > 00 as a definite integral, that b is provide a, b and an) in the expression f f(m)dm. a \"Swamp Evaluate the integral by interpreting it in terms of areas. In other words, draw a picture of the region the integral represents, and find the area using geometry. 9 f |2a3 6|da: 0 4 NO 4 To find the blue shaded area above, we would calculate: f(x)dx = area a Where: a = b = f (ac) = area
Step by Step Solution
There are 3 Steps involved in it
Get step-by-step solutions from verified subject matter experts
