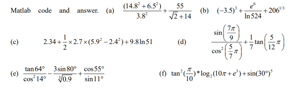
Question: 55 e Matlab code and answer. (a) (14.8 +6.52) 3.82 + (b) (-3.5) + In 524 + 2063 12 +14 71 sin 1 9 (C)

55 e Matlab code and answer. (a) (14.8 +6.52) 3.82 + (b) (-3.5) + In 524 + 2063 12 +14 71 sin 1 9 (C) 2.34+=x2.7 x(5.92 2.42)+9.8ln51 (d) + tan 5 12 2 Cos? 5 TT 7 (e) tan 64 cos? 14 3 sin 80 cos 55 + 10.9 sin 11 (1) tan (* log, (107 +2)+sin(30)*
Step by Step Solution
There are 3 Steps involved in it
Get step-by-step solutions from verified subject matter experts
