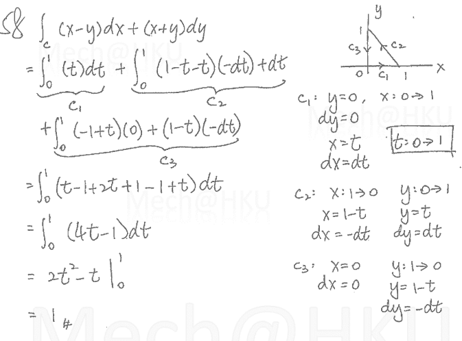
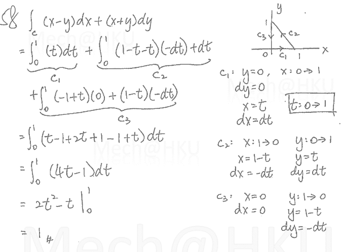
Question: 58. Evaluate (x - y) dx + (x + y) dy counterclockwise around the triangle with vertices (0, 0), (1,0), and (0, 1). [Ans: 1](


 dx+ ( x + 4)dy C3](https://s3.amazonaws.com/si.experts.images/answers/2024/06/6665d399e94d6_3376665d399b8636.jpg)

58. Evaluate (x - y) dx + (x + y) dy counterclockwise around the triangle with vertices (0, 0), (1,0), and (0, 1). [Ans: 1]( x - y ) dx+ ( x + 4)dy C3 = (t)at + (1-t-t)(-dt) +dt X o O 1 CI C : =O, X:021 + [ ( - 1+ t ) (0 ) + ( 1-t ) (- dt ) dy = 0 x= t 16 :02 1 C 3 dx = dt = 10 (t- 1+2t +1 - 1+t) at C 2: X: 130 4:021 (4t-1)dt X = 1-t y=t dx = - dt dy= dt
Step by Step Solution
There are 3 Steps involved in it
Get step-by-step solutions from verified subject matter experts
