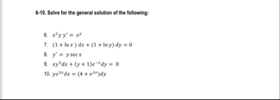
Question: 6 - 1 0 . Solve for the general solution of the following: 6 . x 2 y y ' = e y 7 .
Solve for the general solution of the following:
Step by Step Solution
There are 3 Steps involved in it
1 Expert Approved Answer
Step: 1 Unlock
Question Has Been Solved by an Expert!
Get step-by-step solutions from verified subject matter experts
Step: 2 Unlock
Step: 3 Unlock
