Question: 6. In this problem we examine the phase difference between the cyclic variations of the predator and prey populations as given by equations (24) of


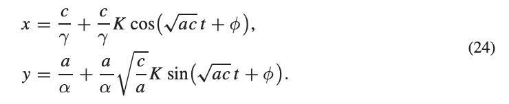
6. In this problem we examine the phase difference between the cyclic variations of the predator and prey populations as given by equations (24) of this section. Suppose we assume that K>0 and that t is measured from the time that the prey population x is a maximum; then =0. a. Show that the predator population y reaches a maximum at t=/(2ac)=T/4, where T is the period of the oscillation. b. When is the prey population increasing most rapidly? decreasing most rapidly? a minimum? c. Answer the questions in part b for the predator population. d. Draw a typical elliptic trajectory enclosing the point (c/,a/), and mark on it the points found in parts a, b, and c. x=c+cKcos(act+) y=a+aacKsin(act+) 6. In this problem we examine the phase difference between the cyclic variations of the predator and prey populations as given by equations (24) of this section. Suppose we assume that K>0 and that t is measured from the time that the prey population x is a maximum; then =0. a. Show that the predator population y reaches a maximum at t=/(2ac)=T/4, where T is the period of the oscillation. b. When is the prey population increasing most rapidly? decreasing most rapidly? a minimum? c. Answer the questions in part b for the predator population. d. Draw a typical elliptic trajectory enclosing the point (c/,a/), and mark on it the points found in parts a, b, and c. x=c+cKcos(act+) y=a+aacKsin(act+)
Step by Step Solution
There are 3 Steps involved in it
Get step-by-step solutions from verified subject matter experts
