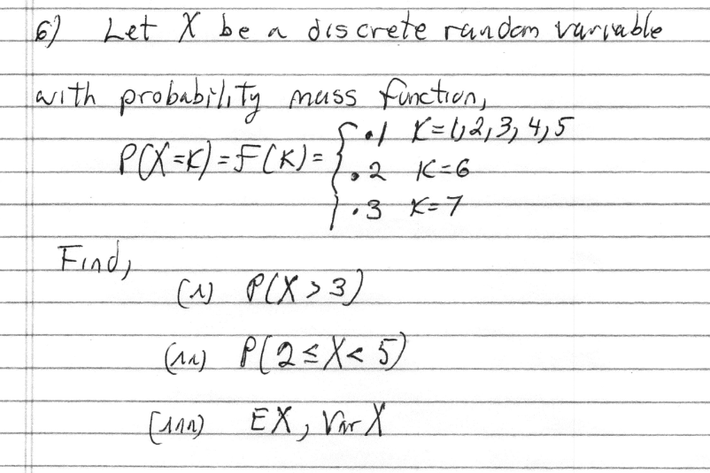
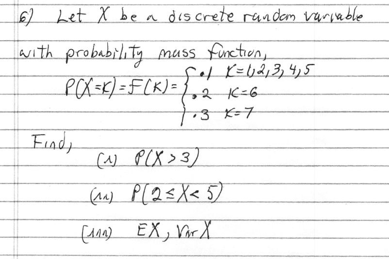
Question: 6) Let X be a discrete random variable with probability mass function [ of K = 1 12, 3, 4, 5 P ( X =


6) Let X be a discrete random variable with probability mass function [ of K = 1 12, 3, 4, 5 P ( X = K ) = F ( K ) = 1, 2 16- 6 3 *= 7 Find, ( y ) P ( X > 3 ( AN) P(2 5 X 5 5 ) (inn) EX, VarX
Step by Step Solution
There are 3 Steps involved in it
Get step-by-step solutions from verified subject matter experts
