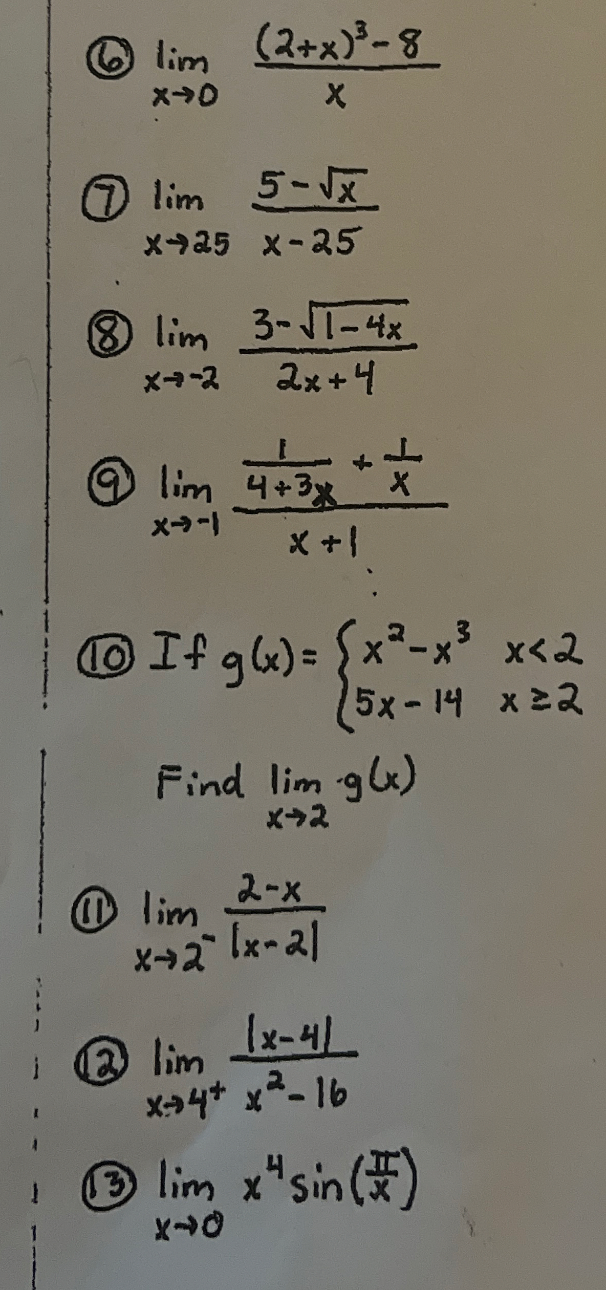
Question: ( 6 ) lim x 0 ( 2 + x ) 3 - 8 x ( 7 ) lim x 2 5 5 - x
If
Find
Step by Step Solution
There are 3 Steps involved in it
1 Expert Approved Answer
Step: 1 Unlock
Question Has Been Solved by an Expert!
Get step-by-step solutions from verified subject matter experts
Step: 2 Unlock
Step: 3 Unlock
