Question: (6%) Problem 5: A wire on a circuit board has a length L = 4.5 mm and carries a current I = 1.69 MA in


















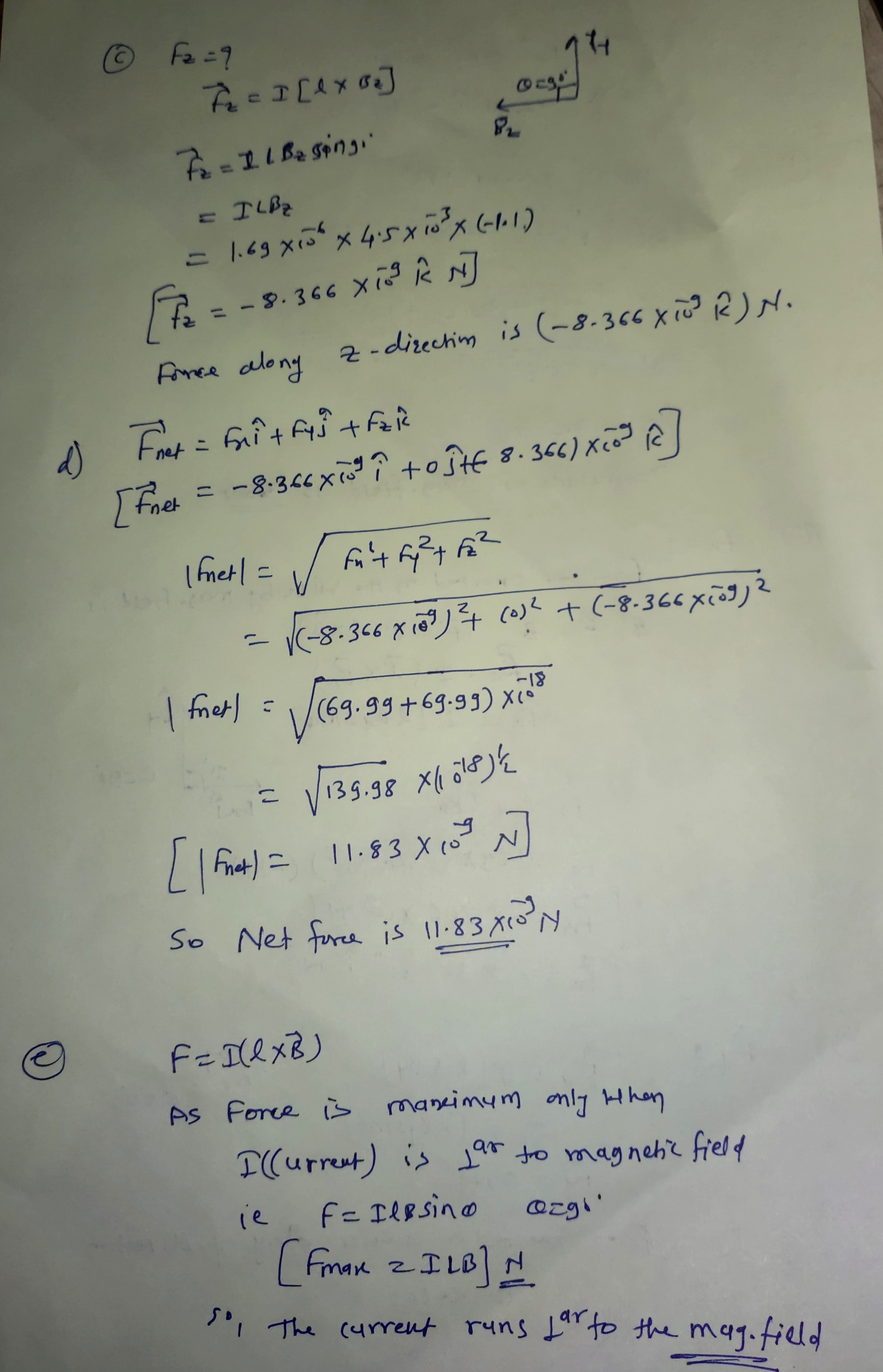
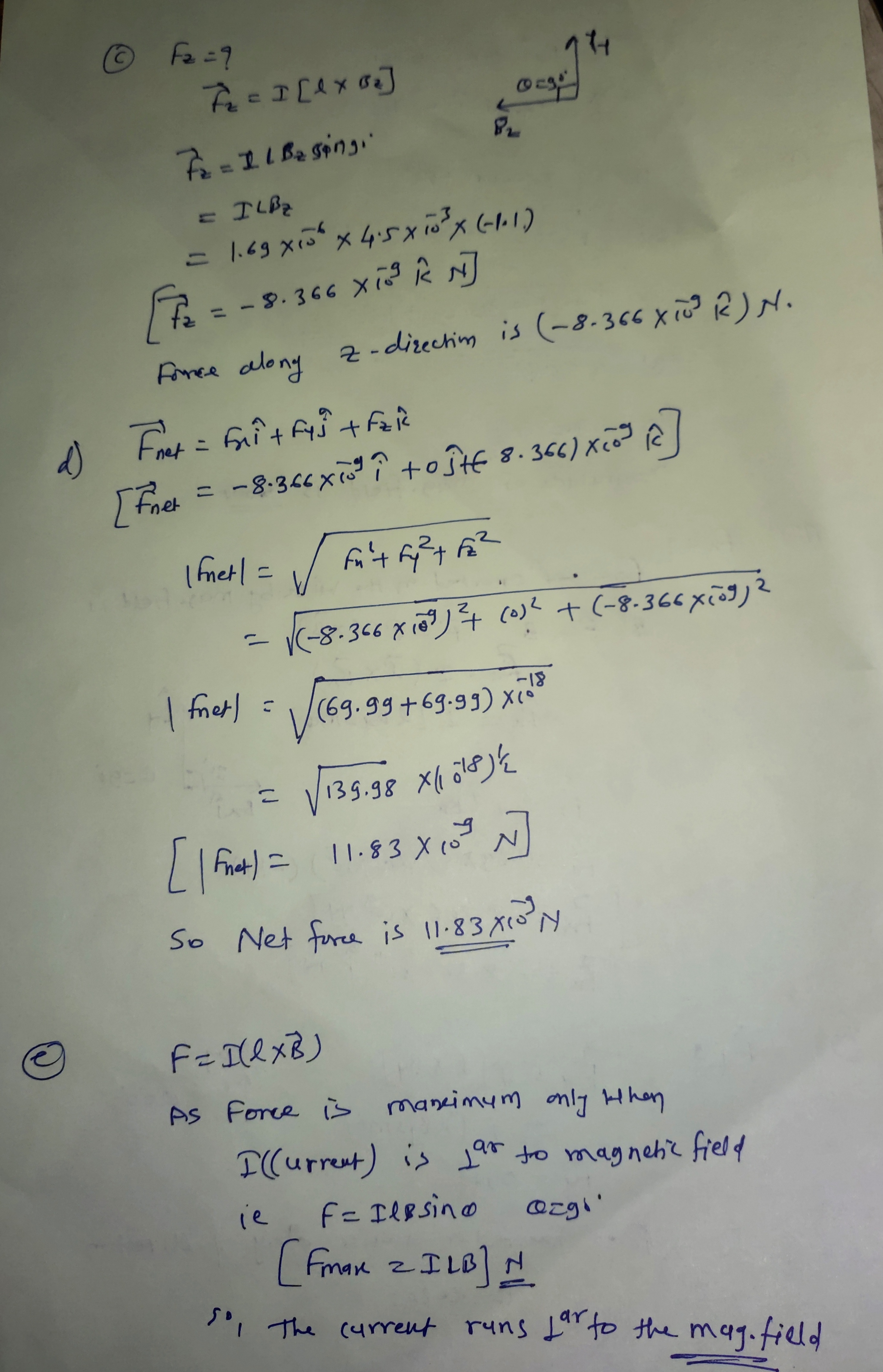
(6%) Problem 5: A wire on a circuit board has a length L = 4.5 mm and carries a current I = 1.69 MA in the positive y direction. A nearby circuit element generates a magnetic field in the vicinity of the wire given by B = Brit By j + Bzk = (-1.1 G) i + (7.3 G) j + ( -1.1 G) kg 17% Part (a) Calculate the magnitude of the magnetic eld, in gauss, in the vicinity of the wire due to the circuit element. Eelit: CA 17% Part (b) Calculate the x component of the magnetic force, in newtons, exerted on the wire by the magnetic field due to the circuit element. Grade F1 = N DeductiA 17% Part (c) Calculate the y component of the magnetic force, in newtons, exerted on the wire by the magnetic field due to the circuit element. Grade Fy = N DeducA 17% Part (d) Calculate the z component of the magnetic force, in newtons, exerted on the wire by the magnetic field due to the circuit element. F2 = N Grad DeduA 17% Part (e) Calculate the magnitude of the magnetic force, in newtons, exerted on the wire by the magnetic field due to the circuit element. Gra F = N DedQ 17% Part (1') If you simply multiply the current. the length. and the magnetic eld strength. ILB. in appropriate units: you will find that this results in a larger calculated force larger than the answer to Part (e). Which of the following scenarios would result in the maximum force exerted on the current carrying wire? . . . . . G d S -' The current runs in the oppoSite direction as the magnetic field. H e_ \"mm\"? Deductions The current runs at a 45 angle to the magnetic field. Potential 100% The current runs in the same direction as the magnetic field. Submissions Attempts remaining: The current runs perpendicular to the magnetic field. ( per attempt) r1 9| 5| ilm'l ri 91" None of the other proposed changes would alter the force acting on the Wire. @0000 B = Bui + By T + Baik B = ( 4. 1 9 ) 7 + ( 7: 3 4 ) 3 + ( - 1-1 ( ) Re 1831 = 1 Bok + By 2 + B2 2 1 131 = / ( - 1 . 1 1 2 + 1 7. 3) 24 ( - 1-17 2 = 1 1 . 21 + 53. 29 + 1.21 1B1 = 1 55.71 [BI = 7.5 G ] Magnitude of mag. field is 75G force bet " exerted on the Hike by may. field is B F = B F = I ( Q XB ) fu = I ( I X Bx ) Fu = I [ ( B sing ] gor ozgo Fu = I LBx Fu = ( 1 . 69 * 10 6 ) ( 4.5 *10 3 ) ( - 1.1) To = - 8.366 x 109 NJ ( Tim = - 8. 360 x 12 7 NJ Fy $ Ty = I[ ex By ] By = R [ d By sino ] [ Ry = ON ] Force Everhed on a Hire dory y-directi'm is zeco -( F2= 9 Fe = I [ 1 x B2] 174 Fo = 1 1 Basing : = ILBE = 1. 69 x 15 x 4 5 x 10 * (- 1. 1) [f2 = - 8. 366 x 18 k N ] Force along z- dizechim is ( - 8- 365 x 109 1 ) N. d ) Fnet = Fri + Fy's + FER [ Fret = - 8:366 x 18) ? to jif 8. 366) x207 12 ] 1 fnetl = 1/ Fult fy 2 + FOR = 1( - 8. 366 x 109 ) 2+ (0)2 + ( - 8. 366 X 109) 2 1 fret) = 1/ ( 69. 99 + 69.gg ) x10 139.98 X /1018 ) /2 [ | Fnot ) = 11.83 X 10# N So Net force is 11. 83 x10 N e F = I( Q X B ) As Force is manimum only when I ( (urrent ) is 195 to magnetic field ie F= Iersino QEgl' [Fmax Z ILB] N ", The current runs Into the mag. field
Step by Step Solution
There are 3 Steps involved in it
Get step-by-step solutions from verified subject matter experts
