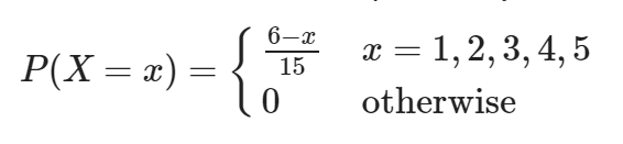
Question: 6-x P(X = x) = x = 1, 2, 3, 4, 5 15 = 0 otherwise
6-x P(X = x) = x = 1, 2, 3, 4, 5 15 = 0 otherwise
Step by Step Solution
There are 3 Steps involved in it
Get step-by-step solutions from verified subject matter experts
