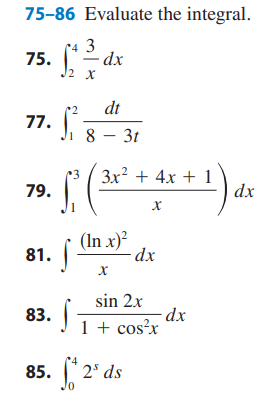
Question: 7 5 - 8 6 Evaluate the integral. s i n 2 x 1 + c o s 2 x d x
Evaluate the integral.
Step by Step Solution
There are 3 Steps involved in it
1 Expert Approved Answer
Step: 1 Unlock
Question Has Been Solved by an Expert!
Get step-by-step solutions from verified subject matter experts
Step: 2 Unlock
Step: 3 Unlock
