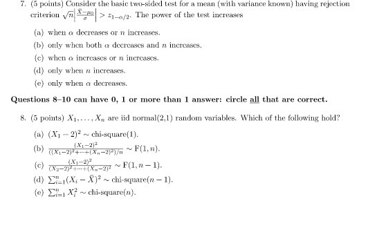
Question: 7. (5 points) Consider the basic two-sided test for a mean (with variance known) having rejection criterion who > 21 5/2. The power of the


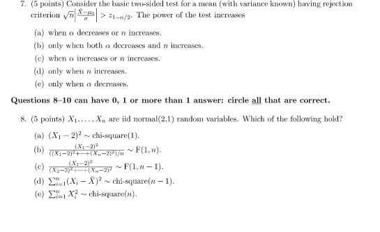
7. (5 points) Consider the basic two-sided test for a mean (with variance known) having rejection criterion who > 21 5/2. The power of the test increase's (a) when a decreases or n increases. (b) only when both a decreases and n increases. (c) when a increases or n increases. (d) only when in increases, (e) only when a decreases. Questions 8-10 can have 0, 1 or more than 1 answer: circle all that are correct. 8. (5 points) X1,-.., X, are iid normal(2,1) random variables. Which of the following hold? (@) (X1 -2)2 ~ chi-square(1). (b) (X1-2)2 7(X1-2)'+ +(X,-2131/ ~ F(1,n). (X1-2)2 (C) (X1-3)-4- HX,-2p ~F(l, a-1). (d) En(X, - X) ~ chi-square(n - 1). (e) In izl Xy ~ chi-square(n)
Step by Step Solution
There are 3 Steps involved in it
Get step-by-step solutions from verified subject matter experts
