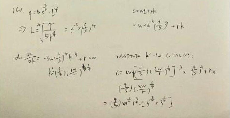
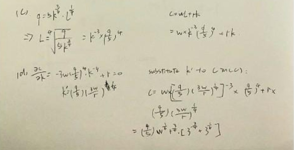
Question: 7 L= 101, 20 Substitute L'to ( THEC). ( = way ,( 3 w , 4 7-3 it rx (7 1 3W = ( 3


7 L= 101, 20 Substitute L'to ( THEC). ( = way ,( 3 w , 4 7-3 it rx (7 1 3W = ( 3 ) W +. [ 3 +3# 7
Step by Step Solution
There are 3 Steps involved in it
1 Expert Approved Answer
Step: 1 Unlock
Question Has Been Solved by an Expert!
Get step-by-step solutions from verified subject matter experts
Step: 2 Unlock
Step: 3 Unlock
