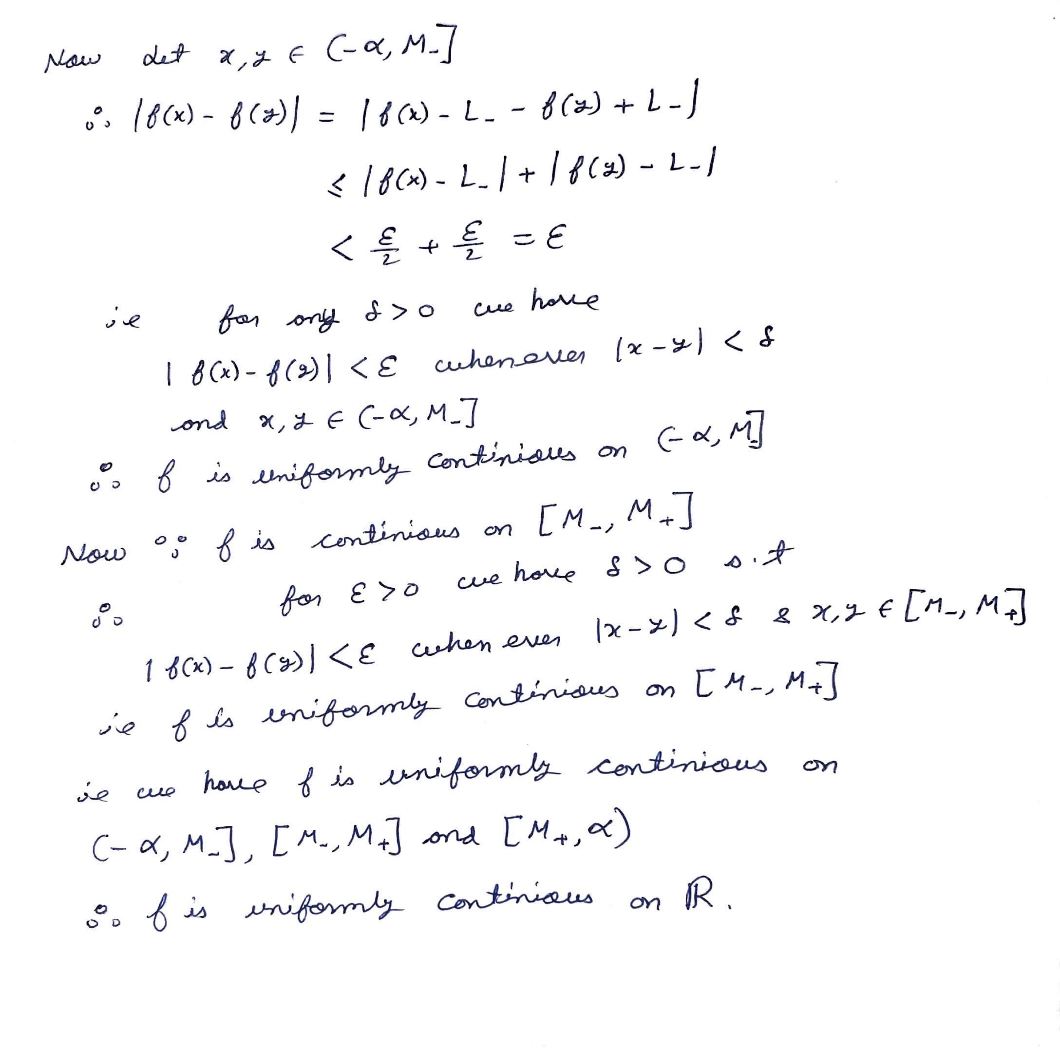
Question: [7] Problem 3 Definition: A function f : IR - R is said to vanish at infinity if lim f(x) = lim f(x) =0. I-+
![[7] Problem 3 Definition: A function f : IR - R](https://dsd5zvtm8ll6.cloudfront.net/si.experts.images/questions/2025/02/67a7e336bb12e_92667a7e336ac034.jpg)
![[7] Problem 3 Definition: A function f : IR - R](https://dsd5zvtm8ll6.cloudfront.net/si.experts.images/questions/2025/02/67a7e3370a899_92667a7e336e4149.jpg)
![[7] Problem 3 Definition: A function f : IR - R](https://dsd5zvtm8ll6.cloudfront.net/si.experts.images/questions/2025/02/67a7e3376165c_92767a7e3373e68f.jpg)
Step by Step Solution
There are 3 Steps involved in it
1 Expert Approved Answer
Step: 1 Unlock
Question Has Been Solved by an Expert!
Get step-by-step solutions from verified subject matter experts
Step: 2 Unlock
Step: 3 Unlock
